1. 웹(Web)이 대체 뭐야?
웹은 World Wide Web의 약자로 우리가 인터넷에서 주소를 입력할 때 첫 부분에 주로 쓰인다.

매번 월드와이드웹이라고 부르기는 너무 길어서 웹(Web)으로 줄여서 부른다. 웹의 정의를 간단히 살펴보면 다음과 같다.
웹이란, 인터넷 상의 정보를 하이퍼텍스트 방식과 멀티미디어 환경에서 검색할 수 있게 해주는 정보 검색 시스템이다.
- 출처 : 위키피디아

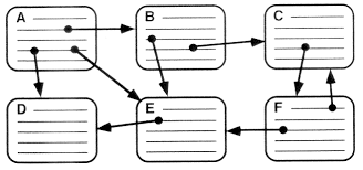
- 하이퍼텍스트 : 하이퍼(Hyper)는 [건너편의, 초월한]이라는 뜻으로 텍스트에서 다른 텍스트로 바로 연결되는 것을 말한다.
우리가 책을 보면 1, 2, 3, 4, 5... 페이지 순서로 읽는 게 일반적이다. 하지만 우리가 웹 사이트를 돌아다닐 때는 정렬된 순서로 보는 것이 아니라, 여기저기 건너뛰면서 정보를 접한다. 다음 그림같이 말이다.
- 멀티미디어 : 다중(Multi) 매체(Media)라는 의미로 글자, 소리, 영상 등 컴퓨터가 처리하는 디지털 상태의 것
간단히 말해서, 인터넷 환경에서 여기저기 바로바로 돌아다니면서 다양한 매체를 접할 수 있도록 만든 서비스를 웹이라고 생각하면 된다.
그래서 인터넷과 웹을 혼용하여 쓰는 경우가 있는데 굳이 구분을 하자면,
- 인터넷 : 컴퓨터 네트워크 망 자체를 의미
- 웹 : 인터넷 상에서 동작하는 서비스
즉, 인터넷은 컴퓨터들이 연결된 그물 같은 것이고, 웹은 그물을 타고 다니면서 돌아다닐 수 있도록 만든 서비스라고 생각하면 된다. 그래서 웹(Web)은 거미줄을 뜻하기도 하는데 이것이 그물(망)이나 하이퍼텍스트처럼 이곳저곳 갈 수 있는 경로를 제공해 준다는 뜻과 일맥상통하는 것이다.
그런데, 일상생활에서 굳이 구분할 필요는 없을 것 같다. 어떤 개발자도 "야, 인터넷이 아니라 웹이야"라고 말하는 것을 듣진 못했으니 말이다.
2. 웹 프런트엔드라는 말도 이제 이해할 수 있다!
우리가 컴퓨터나 스마트폰에서 가장 많이 접하는 것은 '인터넷'이다. 크롬, 인터넷익스플로러, 사파리 등으로 접속하는 것을 생각해보면 된다. 최적화된 앱들이 있긴 하지만 많은 부분이 웹으로 커버가 된다. 별도의 설치 없이 크롬을 통해서 페이스북, 인스타그램, 유튜브 등을 볼 수 있는 것을 생각하면 가장 많이, 쉽게 접근할 수 있는건 웹이라고 생각하면 될 것이다.
그래서 일상에서 가장 많이 접하는 것이 웹이고, 우리는 사용자 측면의 화면을 많이 볼 테니 프런트엔드와 밀접하다. 실제로 웹 프런트엔드를 가장 쉽게 배울 수 있다고 하는데 그 이유가 우리가 많이 사용해서 직관적으로 알 수 있기 때문인 점도 매우 크게 작용한다. 본 적이 없기도 하고 개념도 어려운 와닿지 않는 백엔드를 바로 배우는 것은 쉽지 않은 일일 것이다.
수학 배울때 수학의 정석 시리즈를 산 것을 생각해 보자. 수학의 정석은 책꽂이 끝에 세워놓는 용도로밖에 쓰지 않는다.
그래놓고 꼭 책은 시리즈로 다 산다.
그래서 친근하고 쉬운 것부터 해야된다.

그런데 웹 프런트엔드라는 고급 용어를 쓸 수 있다니, 벌써 코딩의 세계로 들어온 것 같다.
3. 굳이 나열하는 웹의 장점
1) 다른 코딩 분야에 비해 필요한 사전 지식이 상대적으로 적고 난이도 낮다.
2) 내가 한 작업물을 바로 보고, 공개할 수 있으므로 재밌게 시작할 수 있다.
3) 인터넷(웹 브라우저)만 있다면 PC, 태블릿, 스마트폰 등 기기를 가리지 않고 접근할 수 있다.
4) 개발을 쉽게 만들어주는 도구들이 많다.
5) 자랑하기 좋다. 인터넷 주소만 주면 된다.
이런 많은 장점이 있기 때문에 웹으로 흥미롭게 시작하면 된다고 한다. 실제로 아무것도 모르는 필자도 홈페이지를 만드는 데 한 시간이 채 걸리지 않았다. 물론 원하는 수준으로 만드는 데는 시간이 더 필요하지만, 접근하기가 그만큼 쉽다는 것이다.
이번 포스팅에서 입이 닳도록 웹의 장점을 말했으니, 다음 포스팅에서는 본격적으로 들어가 보겠다.
'그냥 코딩글' 카테고리의 다른 글
| 0009. 인생사 새옹지마(Feat. 꾸준히 코딩 하는 법) (3) | 2023.12.04 |
|---|---|
| 0008. 웹 프런트엔드의 시작 (0) | 2023.02.04 |
| 0006. 코딩의 분야와 웹프로그래밍 (0) | 2023.02.03 |
| 0005. 코딩 시작과 선택의 역설 (0) | 2023.02.01 |
| 0004. 대체 뭐부터 배우라는 거야? (0) | 2023.01.09 |